ÃßõµÇ¾ú½À´Ï´Ù.
|
| ´ÜÃà URL: https://humoruniv.com/pds1312160 URL º¹»ç |
|
|
| ¡ã ´ÙÀ½±Û | ±¹ÀåÇÏ´Â°Ô È£±¸ÀÎÀÌÀ¯ | Å©·¹À̱×ÅÍÄ¿ |
|
2024-06-15 [18:54] |
| ¡å ÀÌÀü±Û | ¾î¼´Ù ±³¼ö´Ôµé ´ëÈ¿¡ ³¤ Çкλý .jpg | ±Í¿©¿î±ÇÁø¾Æ |
|
2024-06-15 [18:45] |
´ä±Û º£½ºÆ®
|
´ä±Û º£½ºÆ®1 |
±³°¼º±¸ |
8Àε¥? [6]
|
31 0 |
|
2024-06-15 14:33 |
||||
ÅÁ¼öÀ°´ëÂ¥ |
0À̶û 15¶û ÇÕÀÇ ºÃ³Ä |
2110 |
|
2024-06-15 |
|||||
|
´ä±Û º£½ºÆ®2 |
µû²Ä |
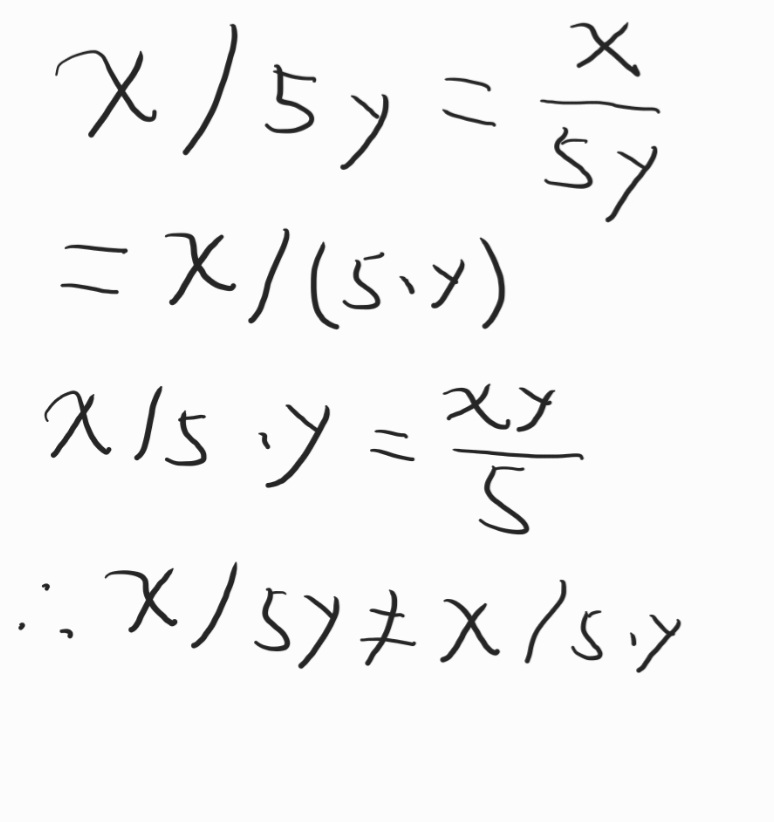
Å©¾Æ¾Æ¾Æ¾Æ °ö¼À±âÈ£°¡ »ý·«µÈ°Ç ÇϳªÀÇ Ç× Ã³¸®µË´Ï´Ù. ³ª´°¼À°ú »ý·«µÈ °öÇϱⰡ ÀÖÀ¸¸é °öÇϱ⠸ÕÀúÀÔ´Ï´Ù. [1]
|
150 3 |
|
2024-06-15 18:54 |
||||
|
´ä±Û º£½ºÆ®3 |
Æ©Çà |
°ö¼À±âÈ£´Â ÁÀ´ë·Î »ý·«ÇÏ´Â°Ô ¾Æ´Ñµ¥ À̰ø°è¿¡¼ Àú·± »óȲ¿¡¼± "¿Ö °ö¼À±âÈ£´Â »ý·«ÇßÀ¸¸é¼ ³ª´°¼ÀÀº ºÐ¼ö·Î Ç¥Çö ¾ÈÇÏ°í ²Ù¿ª²Ù¿ª Ãʵù¶§³ª ¾²´ø ³ª´°¼À ±âÈ£¸¦ ¾´°ÅÁö? 2(2+2)¸¦ ÇϳªÀÇ Ç×À¸·Î ÀνÄÇÏ°í ³ª´°¼ÀÀ» Ç× Àüü¿¡ Àû¿ëÇ϶ó´Â ¶æÀΰ¡?"·Î ÇØ¼®ÇÒ ¿©Áöµµ ÀÖ¾î¼ Àú·± ºñ½º¹«¸®ÇÑ°Å¶óµµ ½ÃÇè¿¡ ³ª¿À¸é ÃâÁ¦ÀÚ ºüµû·Î ÆÐµµ Á¤´ç¹æÀ§Àε¥ ¹æ¼Û°è´Â ¹®ÃÊ?¶ó À̰ø°è °¨¼ö¼ºÀÌ ºÎÁ·ÇѰ¡ºÁ¿ä. ¾î¹®°è¿ ±âÁØÀ¸·Î ¼³¸íÇÏÀÚ¸é Äá±Û¸®½¬·Î Áú¹®Çسõ°í ¿Ö °£´ÜÇÑ ¿µ¾îÁú¹®µµ ´äº¯ ¸øÇÏ³Ä°í µûÁö´Â ¼öÁØÀÔ´Ï´ç [1]
|
59 0 |
|
2024-06-15 18:24 |
||||

|
|
¸ð¸ð±¸±î |
Ʋ¸° ÁÙ ¾Ë°í ±ô¦ ³î¶ú³×;;;
|
20 |
|
2024-06-15 |
||||||
|
|
Ä¡ |
¶ì¿ë... ³ªµµ ´ç´çÇÏ°Ô 15¶ó Çߴµð...
|
180 |
|
2024-06-15 |
||||||
|
|
±³°¼º±¸ |
8Àε¥?
|
310 |
|
2024-06-15 |
||||||
ÅÁ¼öÀ°´ëÂ¥ |
0À̶û 15¶û ÇÕÀÇ ºÃ³Ä
|
2110 |
|
2024-06-15 |
|||||||
±³°¼º±¸ |
¿äÁò ³Ê¹« ±Ø´ÜÀûÀÎ ¼ºÇâÀÌ ¸¹¾Æ¼ µü Áß°£¸¸ °¡¶ó°í
|
230 |
|
2024-06-15 |
|||||||
¸®È÷ |
±×·¯¸é 7À̾î¾ß Çϴ°Š¾Æ³Ä?
|
10 |
|
2024-06-15 |
|||||||
±³°¼º±¸ |
7.5¹Ý¿Ã¸²ÇѰžß
|
230 |
|
2024-06-15 |
|||||||
Åä´ÚÀ̴¼±ºñ |
»ç»ç¿ÀÀÔÀ̳Ä
|
10 |
|
2024-06-15 |
|||||||
°Å¼º¿À¹ö·Îµå |
¼öÇÐÀº ¾ÈÀüÇϳÄ?
|
00 |
|
2024-06-16 |
|||||||
|
|
»ç°íÇϴ»ç¶÷ |
Àú°Åº¸¸é¼ ±Ã±ÝÇÑ°Ô ±×·³ ´ëºÐ¼öµµ Àú·¸°Ô °è»êÇØ¹ö¸®³ª?
|
10 |
|
2024-06-15 |
||||||
|
|
È÷ÀװŸ®´Â¾ÆÀÌ |
¿À´ÃÀº "15"ÀÏÀÓ
|
00 |
|
2024-06-15 |
||||||
|
|
ÆÑÆ®Àú°Ý |
³ »ý·«µÈ °ö¼ÀÀÌµç ±×³É °ö¼ÀÀÌµç ³ª´°¼ÀÀ̵ç ÀÖ´Ù¸é ¹«Á¶°Ç ¿ÞÂʺÎÅÍ °è»êÇ϶ó°í ¹è¿ü¾ú´Âµ¥
|
82 |
|
2024-06-15 |
||||||
ÆÑÆ®Àú°Ý |
30 |
|
2024-06-15 |
||||||||
ÆÑÆ®Àú°Ý |
¿©±â ¼³¸íÇϴ°Íó·³ ¾Ë°íÀÕ¾ú´Âµ
|
10 |
|
2024-06-15 |
|||||||
Äí·¹³ªÀ̽ÅÄí·Î |
Àúµµ ÀÌ·¸°Ô ¾Ë°í ÀÖÀ½. ±×¸®°í ¾ÖÃÊ¿¡ ¼öÇÐ °è»ê½Ä¿¡ Á¤´äÀÌ 2°³¶ó´Â ¸»ºÎÅͰ¡ ¸»ÀÌ ¾ÈµÊ.
|
200 |
|
2024-06-15 |
|||||||
Äí·¹³ªÀ̽ÅÄí·Î |
ÀÌ·¸°Ô °è»êÇϸé Àú °Ô½Ã±ÛÀÌ ¸»µµ ¾ÈµÇ´Â °Ô º¸À̳׿ä
|
10 |
|
2024-06-15 |
|||||||
Äí·¹³ªÀ̽ÅÄí·Î |
16 - 8 / 2(2+2) = 16 - 8 / 2(4) = 16 - 8 / 2 * 4 = 16 - 8 / (2 + 2 + 2 + 2) = 16 - (8 / 2 + 8 / 2 + 8 / 2 + 8 / 2) = 16 - (4 + 4 + 4 + 4) = 16 - 16 = 0
|
40 |
|
2024-06-15 |
|||||||
Å·¿Àºê¸àºØ |
¼ö½Ä ¿À·ùÀÓ
|
30 |
|
2024-06-15 |
|||||||
restory |
¾ÖÃÊ¿¡ ¼ö½Ä¿À·ùÀÓ. 2(x+y) À̰Ŵ ¹®Á¦°¡ ¾ø´Âµ¥, 2(2+1)Àº ¾µ ¼ö ¾øÀ½. 2*(2+1)ÀÌ ¿Ã¹Ù¸¥ ¼ö½ÄÀÓ. ¹®ÀÚ ¾Õ¿¡´Â °öÇϱⰡ »ý·«µÉ ¼ö Àִµ¥, ¼ýÀÚ*¼ýÀÚ´Â »ý·«µÉ ¼ö ¾øÀ½
|
260 |
|
2024-06-15 |
|||||||
restory |
¼öÇÐ °è»ê½Ä¿¡ Á¤´äÀÌ µÎ°³°¡ ³ª¿Â°Ô ¾Æ´Ï¶ó. ¾ÖÃÊ¿¡ À߸øµÈ ½ÄÀ̶ó´Â°Å
|
230 |
|
2024-06-15 |
|||||||
|
|||||||||||
ºÒÇàÇѰ¡ÀÚ¹Ì |
ÀÌ ¹®Á¦´Â ¾ÖÃÊ¿¡ ±Ô¾àÀÌ ¸ðÈ£ÇØ¼ ¹ß»ýÇÑ ¹®Á¦¶ó¼ ±Ô¾àÀ» ¸íÈ®È÷ ±ÔÁ¤ÇØÁÖ¸é ³¡³ª´Â ¹®Á¦ÀÓ. Çѱ¹Çб³¼öÇÐȸ¿¡¼´Â ³í¹®À» ÅëÇØ °ýÈ£¾ÕÀÇ »ý·«µÈ °öÇϱ⸦ ¿ì¼±À¸·Î ÇÏ´Â °ÍÀ¸·Î ÀÔÀåÀ» ³Â°í, ³ªµµ ÀÌ°Ô Å¸´çÇÑ ±Ô¾àÀ̶ó°í »ý°¢ÇÔ. https://holymath.tistory.com/entry/%EA%B3%B1%EC%85%88%EC%83%9D%EB%9E%B5%EA%B3%84%EC%82%B0%EB%AC%B8%EC%A0%9C
|
130 |
|
2024-06-15 |
|||||||
|
|
Åë¹ÐÄíŰ |
»ç¶÷¸¶´Ù ¸»ÇÏ´Â°Ô ´Ù ´Þ¶ó ´©±º (2¡¿2+2¡¿2)¸¦ ÁÙ¿©¾´°Å¶ó°í °ýÈ£Ç× ¸ÕÀú Ç®¾î¾ßµÈ´Ù°í ÇÏ´øµ¥
|
10 |
|
2024-06-15 |
||||||
|
|
ÇÏ¿ìÁ¨Æø»è |
³ªµµ °ýÈ£¸ÕÀú Ǫ´Â°É·Î ¾Ë°íÀÖ¾î¼ 15³ª¿Ô´Âµ¥
|
90 |
|
2024-06-15 |
||||||
|
|
±Í¿©¿î±ÇÁø¾Æ |
ÀÌ·¸°Ô»ý°¢ÇÑ»ç¶÷ ¿©±â¿©±â ´ÙºÙ¾î¶ó
|
122 |
|
2024-06-15 |
||||||
½Î¿ì¸é¸ñ¼º |
°øÇÐ¿ë °è»ê±âµéÀº ÀüºÎ ³ª´°¼À °ö¼À ¼øÀ¸·Î °è»êÇϴµí 0À¸·Î ³ª¿È
|
10 |
|
2024-06-15 |
|||||||
±¸¶óÀïÀ̼Ҽ³°¡ |
3333 ÀÌ°Ô ¸Â´Â°Å¾Æ´Ô?
|
00 |
|
2024-06-15 |
|||||||
|
|
¾ÆÀ̰í³1 |
¿ïÇÁ¶÷ ¾ËÆÄ´Â Ä®°°ÀÌ ÀÏ¹Ý °öÇϱâ·Î ó¸®Çؼ °ýÈ£ ½áÁְԵʤ»¤»
|
10 |
|
2024-06-15 |
||||||
|
|
ÇϾáÈ£·© |
¾î¸±¶§ ¼Ó¼ÀÇпø¿¡¼ °æ½Ã´ëȸµµ ¿©·¯ ¹ø ³ª°¡°í ±×·¨´Âµ¥ ±âº» ¼ø¼´Â ¿ÞÂÊ¿¡¼ ¿À¸¥ÂÊÀÌÁö¸¸ °ýÈ£ÀÖÀ¸¸é ¹«Á¶°Ç °ýÈ£ ¿ì¼±À̶ó ¹è¿üÀ½. ±×¸®°í °ýÈ£ ¾Õ¿¡ ºÙÀº ¼ýÀÚ´Â ÀÏ¹Ý °ö¼À ³ª´°¼Àº¸´Ù ¿ì¼±¼øÀ§°¡ ³ô¾ÒÀ½. ±Ùµ¥ 0À̶ó´Ï..Áö±Ý ´Þ¶óÁø°Ç°¡ ÀǾÆÇÔ..
|
360 |
|
2024-06-15 |
||||||
|
|
³´Ï°¡Áö³¿©¸§¿¡ |
Àú·± ¿¬»êÀº ¹«¾ùºÎÅÍ ÇØ¾ßÇÑ´Ù ÇÕÀÇµÈ°Ô ¾ø½À´Ï´Ù ¾ÖÃÊ¿¡ °ö¼Á ³ª´°¼À »ý·«Çϴ°Ͱú Ç¥±âÇÏ´Â°É È¥¿ëÇØ¼± ¾ÈµË´Ï´Ù. Á¤´äÀÌ 2°³ ¶ó°í º¼ ¼ö ÀÖÁö¸¸ Á¶±Ý ´Ù¸£°Ô À̾߱âÇÏÀÚ¸é ¾ÖÃÊ¿¡ Á¤´äÀÌ Á¤ÇØÁöÁö ¾Ê´Â À߸øµÈ ½ÄÀ¸·Î º¼ ¼ö ÀÖ½À´Ï´Ù
|
100 |
|
2024-06-15 |
||||||
|
|||||||||||
³´Ï°¡Áö³¿©¸§¿¡ |
2¡À2(2+2) ½ÄÀ» ÀÌ·¸°Ô ¾²¸é ¾ÈµË´Ï´Ù ¤Ô¤Ô¤Ô¤Ô¤Ô¤Ô¤Ô¤Ô¤Ô¤Ô¤Ô¤Ô¤Ô¤Ô2¡À2¡¿(2+2) ·Î ¾²´ø°¡ ¤Ô¤Ô¤Ô¤Ô¤Ô¤Ô¤Ô¤Ô¤Ô¤Ô¤Ô¤Ô¤Ô¤Ô¤Ô¤Ô¤Ô¤Ô¤Ô¤Ô¤Ô 2/2(2+2) ·Î ½á¾ß ¸Â½À´Ï´Ù
|
70 |
|
2024-06-15 |
|||||||
|
|
Æ©Çà |
°ö¼À±âÈ£´Â ÁÀ´ë·Î »ý·«ÇÏ´Â°Ô ¾Æ´Ñµ¥ À̰ø°è¿¡¼ Àú·± »óȲ¿¡¼± "¿Ö °ö¼À±âÈ£´Â »ý·«ÇßÀ¸¸é¼ ³ª´°¼ÀÀº ºÐ¼ö·Î Ç¥Çö ¾ÈÇÏ°í ²Ù¿ª²Ù¿ª Ãʵù¶§³ª ¾²´ø ³ª´°¼À ±âÈ£¸¦ ¾´°ÅÁö? 2(2+2)¸¦ ÇϳªÀÇ Ç×À¸·Î ÀνÄÇÏ°í ³ª´°¼ÀÀ» Ç× Àüü¿¡ Àû¿ëÇ϶ó´Â ¶æÀΰ¡?"·Î ÇØ¼®ÇÒ ¿©Áöµµ ÀÖ¾î¼ Àú·± ºñ½º¹«¸®ÇÑ°Å¶óµµ ½ÃÇè¿¡ ³ª¿À¸é ÃâÁ¦ÀÚ ºüµû·Î ÆÐµµ Á¤´ç¹æÀ§Àε¥ ¹æ¼Û°è´Â ¹®ÃÊ?¶ó À̰ø°è °¨¼ö¼ºÀÌ ºÎÁ·ÇѰ¡ºÁ¿ä. ¾î¹®°è¿ ±âÁØÀ¸·Î ¼³¸íÇÏÀÚ¸é Äá±Û¸®½¬·Î Áú¹®Çسõ°í ¿Ö °£´ÜÇÑ ¿µ¾îÁú¹®µµ ´äº¯ ¸øÇÏ³Ä°í µûÁö´Â ¼öÁØÀÔ´Ï´ç
|
590 |
|
2024-06-15 |
||||||
½½ÇÂ¼Ò½Ä |
À̰Ÿ¶Áò ºüµû¸ÂÀ»¹®Á¦ÀÓ
|
120 |
|
2024-06-15 |
|||||||
|
|
¸¶Ä«Æ¼¿£ |
0À̶ó´Â ¼³¸íµµ ³³µæÀº °¡´Âµ¥, º¸Åë ¹®Á¦¸¦ Àú·¡ ³»¸é 15¶ó°í ´äÀ» Á¤Çسõ´Â°Ô ¸Â´Â °Í °°Àºµ¥¡¦
|
60 |
|
2024-06-15 |
||||||
|
|
»¹¼Ò¸®ÀåÀÎ |
½Ä °¡Á¤ ÀÚü°¡ À߸øµÈ°Å ¾Æ´Ñ°¡
|
30 |
|
2024-06-15 |
||||||
|
|||||||||||
|
|
ÀÚµ¿Â÷ÁÁ¾ÆÇÔ |
¾î½Ã
|
20 |
|
2024-06-15 |
||||||
|
|
ÀÌ´×Á¾·á |
¿¬»ê±âÈ£ »ý·«Àº ¹®ÀÚ¿¡¸¸ ¾²´Â°Ô ±ÔÄ¢ÀΰɷΠ¾Ë°í ÀÖÀ½. °í·Î Àú°Ç ½Ä ÀÚü°¡ À߸øµÆ´Ù°í ºÁ¾ßÇÔ
|
110 |
|
2024-06-15 |
||||||
|
|
ǶÅÍ |
±×³É Ç¥±â¿À·ù¶ó ¹®Á¦¼º¸³ÀÌ ¾ÈµÇ´Âµ¥...;
|
40 |
|
2024-06-15 |
||||||
|
|
ÆÒ¾Æ¸Þ¸®ÄÇ×°ø |
¾ÖÃÊ¿¡ ¾î¶»°Ô ÇØ¼®ÇϳĿ¡ µû¶ó ´äÀÌ ´Ù¸£°Ô ³ª¿Â ¹®Á¦¶ó¸é ±×°Ç ±×³É ¼öÇÐÀûÀ¸·Î Ʋ¸° ¹®Á¦ÀÓ
|
180 |
|
2024-06-15 |
||||||
|
|
¸êÀý |
15¾Æ´Ô?? 2(2+2) ÀÌ°É Çϳª·Î °£ÁÖÇØ¾ßµÇ´Â°Å ¾Æ´Ñ°¡?...
|
60 |
|
2024-06-15 |
||||||
|
|
µû²Ä |
Å©¾Æ¾Æ¾Æ¾Æ °ö¼À±âÈ£°¡ »ý·«µÈ°Ç ÇϳªÀÇ Ç× Ã³¸®µË´Ï´Ù. ³ª´°¼À°ú »ý·«µÈ °öÇϱⰡ ÀÖÀ¸¸é °öÇϱ⠸ÕÀúÀÔ´Ï´Ù.
|
1503 |
|
2024-06-15 |
||||||
¼ÁÆÒ |
¼ýÀÚ¿¡¼´Â °ö¼Á±âÈ£ »ý·«¾ÈµÊ
|
360 |
|
2024-06-15 |
|||||||
|
|
±Ý·Ã»ê |
¿Ö 0ÀÎÁö ÀÌÇØ°¡ ¾ÈµÇ´Âµ¥? 8 ¡À 2(2+2) »óÅ¿¡¼ °ýÈ£´Â 2¡¿2 + 2¡¿2 ¿¡¼ 2¡¿°¡ Áߺ¹À̶ó 2¡¿(2+2)·Î ¹¾î³õ¾Ò´Ù´Â °É Ç¥½ÃÇÏ·Á°í 2(2+2)·Î ºÙ¿© ¾²´Â°Çµ¥ ±×°É ±»ÀÌ 8 ¡À 2 ¸¦ ¸ÕÀúÇÏ°í ¡¿ 4¸¦ ³ªÁß¿¡ ºÙÀδٰí? ±×°Ç °ýÈ£¿¡ ´ëÇÑ »ó½ÄÀÌ ¾Æ¿¹ ¾ø´Â°Å °°Àºµ¥;
|
140 |
|
2024-06-15 |
||||||
v³ª¾Æ°¡ÀÚv |
À̰Ÿ´Ù. ±×³É ±×·¸°Ô ÇÏÀÚ
|
00 |
|
2024-06-16 |
|||||||
|
|
restory |
©À» º¸¸é ¾Ë°ÚÁö¸¸, °öÇϱⰡ »ý·«µÈ ½ÄÀº ´Ü¼øÈ÷ °öÇϱ⸸ »ý·«Çϴ°ÍÀÌ ¾Æ´Ï¶ó, ¸ÕÀú °è»êÇ϶ó´Â °ýÈ£±îÁö »ý·«ÀÌ µÇ¾îÀÖÀ½ ±×·¡¼ 8/2£¨2+2£©°¡ ¹«¾ùÀÌ µÇ´À³Ä¿¡¼ ´äÀÌ 1À̳Ä? ±×°ÍÀº ¶Ç ¾Æ´Ô. ¿Ö³ÄÇÏ¸é ¼ýÀÚ * ¼ýÀÚ¿¡¼ °öÇϱâ´Â »ý·«µÉ ¼ö ¾ø±â ¶§¹®ÀÓ. 8£¨9£©¸¦ ¾µ ¼ö ¾ø´Â ½ÄÀ̶ó´Â ¸»ÀÓ. ¾ÖÃÊ¿¡ ¼ö½ÄºÎÅͰ¡ ¿À·ù°¡ ÀÖ´Â ¼À. ±×·¸±â ¶§¹®¿¡ ¿Ã¹Ù¸£°Ô ¾²±â À§Çؼ´Â 8/2*£¨2+2£© ȤÀº 8/[2*£¨2+2£©]·Î ½á¾ßÇÔ »ç½Ç ÀüÀÚÀÇ °æ¿ì¿¡µµ º¸ÅëÀº ¾²Áø ¾Ê°í, ¾²·Á¸é 8*£¨2+2£©/2·Î °öµéÀ» ¾ÕÀ¸·Î Á¤¸®ÇÏ°í ºÐ¸ð¸¦ µÚ¿¡´Ù Á¤¸®ÇÏ´Â°Ô ¿Ã¹Ù¸§
|
72 |
|
2024-06-15 |
||||||
ºÒÇàÇѰ¡ÀÚ¹Ì |
8(a+b)´Â ¾µ¼ö ÀÖÁö¸¸ 2(a)´Â ¾µ ¼ö ¾ø´Ù´Â Á¡À» º¼ ¶§, 8(9)¸¦ ¾µ ¼ö ¾ø´Ù´Â »ç½ÇÀÌ 2(2+2)µµ ¾µ ¼ö ¾ø´Ù´Â ±Ù°Å°¡ µÉ ¼ö ¾ø´Ù°í »ý°¢ÇÕ´Ï´Ù. °ö¼ÀÀÌ »ý·«µÉ ¶§ ¹Ù±ùÀÇ °ýÈ£°¡ Çϳª »ý·«µÈ´Ù´Â ³í¸®¸¦ ÀϰüÀûÀ¸·Î ¼ýÀÚ¸¸ µé¾îÀÖ´Â °ýÈ£ ¾ÕÀÇ »ý·«µÈ °ö¼À¿¡µµ Àû¿ëÇÏ´Â °ÍÀÌ Å¸´çÇÏ´Ù°í »ý°¢ÇÕ´Ï´Ù.
|
11 |
|
2024-06-15 |
|||||||
restory |
¾ÖÃÊ¿¡ ¼ýÀÚ¿Í ¼ýÀÚ°£ÀÇ °öÇϱâ´Â »ý·«µÉ ¼ö ¾øÀ½
|
101 |
|
2024-06-15 |
|||||||
restory |
°ö¼ÀÀÇ »ý·«À̶ó´Â°Å ÀÚü°¡ ¾î¶°ÇÑ ¹ýÄ¢ÀÌ ¾Æ´Ñ, »ç¶÷µé³¢¸®ÀÇ ¾à¼ÓÀ¸·Î ÀÎÇØ ÇùÀÇµÈ ±ÔÄ¢ÀÓ. 2x¶ó°í ÇùÀÇµÈ °ÍÀ» ³ª´Â x2·Î ¾µ°Å¾ß! ¶ó°í ÇÏ¸é ¾ÈµÇ´Â°Å Ã³·³ ¼ýÀÚ¿Í ¼ýÀÚ°£ÀÇ °ö¼ÀÀº »ý·«ÇÏÁö ¾Ê´Â °ÍÀ» ¿øÄ¢À¸·Î ÇßÀ¸´Ï ¼ö½ÄÀÌ À߸øµÈ °É·Î ºÁ¾ßÁö
|
91 |
|
2024-06-15 |
|||||||
ºÒÇàÇѰ¡ÀÚ¹Ì |
°ýÈ£´Â ¹®ÀÚ·Î Ãë±ÞÇÏ´Â °ÍÀÌ Å¸´çÇÕ´Ï´Ù. ¸¸¾à °ýÈ£ ¾ÈÀÇ ½ÄÀÌ ¼ýÀڷθ¸ ±¸¼ºµÇ¾î Àֱ⠶§¹®¿¡ °ýÈ£ ÀÚü¸¦ ¼ýÀÚ·Î Ãë±ÞÇØ¾ß ÇÑ´Ù¸é, 2(a+2)´Â ¾µ ¼ö ÀÖÁö¸¸ a=2¸¦ ´ëÀÔÇÒ¶§´Â 2¡¿(2+2)·Î »ý·« µÇ¾ú´ø °ö¼ÀÀ» µÇ»ì·ÁÁà¾ß Çϸç, (2+2)(3+4)¿Í °°Àº ¼ýÀڷθ¸ ÀÌ·ïÁø °ýÈ£¿Í °ýÈ£ »çÀÌÀÇ °öÀ» »ý·«ÇÒ ¼ö ¾ø´Ù´Â ¹®Á¦°¡ »ý±é´Ï´Ù. ¾ÖÃÊ¿¡ ¼ýÀÚ¿Í ¼ýÀÚ »çÀÌÀÇ °ö¼ÀÀ» »ý·«ÇÒ ¼ö ¾ø´Ù´Â ±Ô¾àÀº 2¡¿2¿¡¼ °ö¼ÀÀ» »ý·«ÇÒ¶§ 2 2°¡ µÇ¾î 22¿ÍÀÇ ±¸ºÐÀÌ ¾î·Á¿öÁø´Ù´Â ¹®Á¦ ¶§¹®¿¡ Á¤ÇØÁø ±ÔÄ¢À̰í, °ö¼À±âÈ£¸¦ »ý·«ÇÒ¼ö´Â ¾øÁö¸¸ •°ú °°Àº ±âÈ£·Î ´ëüÇÏ¿© °£·«È ÇÏ´É °ÍÀº Çã¿ëÇϰí ÀÖ½À´Ï´Ù. µû¶ó¼ °ýÈ£ ¾Õ¿¡ °ö¼À±âÈ£ »ý·«À» °ýÈ£ÀÇ ³»¿ë¹°¿¡ µû¶ó ´Ù¸£°Ô Àû¿ëÇØ¾ß ÇÑ´Ù´Â °ÍÀº ºÒÇÊ¿äÇÑ ±Ô¾àÀ̶ó°í º¾´Ï´Ù.
|
50 |
|
2024-06-15 |
|||||||
ºÒÇàÇѰ¡ÀÚ¹Ì |
°ýÈ£¾ÈÀÇ ¼ö½ÄÀÌ ¼ýÀڷθ¸ ±¸¼ºµÇ¾î ÀÖ´Ù´Â °ÍÀÌ °ýÈ£ ¾ÕÀÇ °ö¼À »ý·«¿¡ ¿µÇâÀ» ÁÖÁö ¾Ê´Â´Ù´Â °ÍÀº °ýÈ£ ÀÌ¿ÜÀÇ ´Ù¸¥ ±âÈ£¸¦ ÅëÇØ¼µµ ¾Ë ¼ö ÀÖ´Ù°í »ý°¢ÇÕ´Ï´Ù. ¿¹¸¦µé¾î 2¡¿¡î2´Â ¾ÕÀÇ °ö¼ÀÀ» »ý·«Çϰí 2¡î2·Î ¾µ¼ö ÀÖ½À´Ï´Ù. »Ó¸¸¾Æ´Ï¶ó 8¡À2¡î2 = 8¡À(2¡¿¡î2)·Î º»´Ù´Â Á¡¿¡¼µµ »ý·«µÈ °ö¼À¿¡´Â °ýÈ£µµ »ý·«µÇ¾î ÀÖ´Ù´Â ±Ô¾àÀÌ ÀϰüÀûÀ¸·Î Àû¿ëµÇ°í ÀÖ´Ù´Â Á¡À» ¾Ë ¼ö ÀÖ´Ù°í »ý°¢ÇÕ´Ï´Ù. ¹°·Ð, 8 ¡À2(2+2)°¡ ¾ÆÁ÷ ¸íÈ®È÷ ¾à¼ÓµÈ ¹Ù°¡ ¾ø±â ¶§¹®¿¡ ¸ðÈ£Çϰí À߸øµÈ ¼ö½ÄÀ̶ó´Â Á¡Àº µ¿ÀÇÇÏÁö¸¸, ±×·¸´Ù¸é »ý·«µÈ °ö¼À¿¡´Â °ýÈ£µµ »ý·«µÇ¾ú´Ù´Â °ÍÀ» ¸íÈ®ÇÑ ±Ô¾àÀ¸·Î Á¤ÇÏ¸é ¸ðµç ¹®Á¦°¡ ±ò²ûÇÏ°Ô ÇØ°áµÈ´Ù°í »ý°¢ÇÕ´Ï´Ù.
|
30 |
|
2024-06-15 |
|||||||
Æ©Çà |
¼ýÀÚ³¢¸® »ý·« ¸øÇÑ´Ù´Â°Ç 2¡¿2¸¦ 22·Î ¸ø¾´´Ù´Â°ÅÁö 8(9)µç 2(a)µç µÑ´Ù °¡´ÉÇÑ Á¤»óÀûÀΠǥ±â¹ýÀÓ. µÑ´Ù Ʋ¸®°Ô ÇØ¼®ÇÒ ¿©Áö°¡ ÀüÇô ¾ø°í ƯÈ÷ Áõ¸í¿¡¼ Áß°£´Ü°è¸¦ Ç¥ÇöÇÒ ¶§ ¾öû³ª°Ô ÈçÈ÷ ¾²´Â ¹æ½ÄÀε¥
|
20 |
|
2024-06-16 |
|||||||
ºÒÇàÇѰ¡ÀÚ¹Ì |
°ýÈ£´Â ¿¬»ê ¼ø¼¸¦ ÁöÁ¤Çϱâ À§ÇØ ¾²À̱⠶§¹®¿¡, Àû¾îµµ ÇϳªÀÇ ¿¬»êÀº µé¾îÀÖ¾î¾ß ÇÕ´Ï´Ù. À̸¦Å׸é -(-1), (2©÷)©ø¿Í °°ÀÌ ¼ö´Â Çϳª¸¸ µé¾îÀ־ ¸ÕÀú °è»êÇØ¾ß ÇÒ ¿¬»êÀÌ Æ÷ÇԵ˴ϴÙ. °è»ê°úÁ¤¿¡¼ °ýÈ£ ³»ºÎÀÇ ¿¬»êÀ» ¸¶Ä¡°í ¿¬»ê °á°ú¸¦ µµÃâÇßÀ»¶§´Â °ýÈ£¸¦ Ç®¾îÁà¾ß ÇÕ´Ï´Ù. b=0À϶§, 2(a+b) = 2(a)¶ó°í ¾²´Â °ÍÀÌ ¾Æ´Ï¶ó 2(a+b) = 2a¶ó°í ½áÁÖ´Â °ÍÀÌ ÀϹÝÀûÀÔ´Ï´Ù.
|
01 |
|
2024-06-16 |
|||||||
Æ©Çà |
³úÇÇ¼È ¾²Áö¸»°í ÇϳªÀÇ ¿¬»êÀÌ µé¾îÀÖ¾î¾ß µÈ´Ù´Â ±ÔÄ¢ÀÌ ¾îµð ¸í½ÃµÇ¾îÀÖ´ÂÁö ¸»ÇغÁ. Àü¼¼°è ±³°ú¼/³í¹®¿¡¼ ÈçÈ÷ Åë¿ëµÇ´Â Ç¥±â¹ýÀε¥ ¹» ¸ø¾´´Ù´Â °Å¾ß?
|
00 |
|
2024-06-16 |
|||||||
Æ©Çà |
´çÀå ¿µ¹®À§Å°ÇÇµð¾Æ¿¡µµ 5(2) °°Àº ¿¹½Ã°¡ ³ª¿ÍÀÖ°í (https://en.wikipedia.org/wiki/Multiplication) ±×³É multiplication by juxtaposition ¸¸ °Ë»öÇØµµ ¼ö ¾øÀÌ ¸¹Àº ¿¹½Ã°¡ ³ª¿À°í Çѱ¹ ±³°ú¼³ª ¹®Á¦Ç®ÀÌ ¼Àû¿¡µµ ´äÁö ºÎºÐ¿¡ ¼ö ¾øÀÌ ¿¹½Ã°¡ ³ª¿Ã°Çµ¥ ¹®Á¦µÈÀûÀº ¾øÀ½
|
00 |
|
2024-06-16 |
|||||||
ºÒÇàÇѰ¡ÀÚ¹Ì |
¤¤±×·¸³×¿ä. ¸íÈ®ÇÑ ±ÔÁ¤À¸·Î ³»ºÎ¿¡ ¿¬»êÀÌ ÀÖ¾î¾ß¸¸ ÇÑ´Ù´Â ±ÔÄ¢ÀÌ ¾ø´Â°Ç ¸ÂÁÒ.
|
00 |
|
2024-06-16 |
|||||||
|
|||||||||||
ºÒÇàÇѰ¡ÀÚ¹Ì |
´Ù¸¸, 8¡À2(2+2)¿Í °°ÀÌ »ý·«µÈ °ö¼ÀÀÇ ¿¬»ê¼ø¼¿¡ ¸ðÈ£¼ºÀÌ ¹ß»ýÇÏ´Â °Íó·³, 5(2)¿Í °°Àº °ö¼À±âÈ£ÀÇ »ý·«, º´Ä¡¿¡ ÀÇÇÑ °ö¼ÀÀÌ ¸ðÈ£¼ºÀÌ ¹ß»ýÇÒ °¡´É¼ºÀÌ ÀÖ´Ù´Â °ÍÀº ¸µÅ©ÇϽŠÀ§Å°ÇÇµð¾Æ¿¡µµ ³ª¿Í Àֳ׿ä. ¿¹¸¦µé¾î 2(a) °°Àº °æ¿ì´Â ¹®Á¦°¡ µÇÁö ¾Ê°ÚÁö¸¸, a(2) °°Àº ½ÄÀÇ Ç¥±â´Â a°¡ º¯¼öÀÎÁö ÇÔ¼öÀ̸§ÀÎÁö, (2)°¡ ÇÔ¼öa()ÀÇ ¿øÀκ¯¼öÀÎÁö ¾Æ´Ï¸é ¡¿2¸¦ ¶æÇÏ´ÂÁöÀÇ ¸ðÈ£¼ºÀÌ ¹ß»ýÇÒ ¼ö ÀÖÀ¸´Ï ÀÌ·± Ç¥±â´Â ±âÇÇÇϰí 2a¿Í °°ÀÌ ¾²´Â°Ô ¹Ù¶÷Á÷Çϱâ´Â ÇÕ´Ï´Ù. ÇÏÁö¸¸ ´Ù½Ãº¸´Ï ÀÌ·¯ÇÑ ¹®Á¦´Â a(2+2)¿Í °°ÀÌ ³»ºÎ¿¡ ¿¬»êÀÌ Æ÷ÇԵǾî À־ ¿©ÀüÈ÷ ¹ß»ýÇÒ ¼ö ÀÖ´Â ¹®Á¦À̱⿡ ¿¬»êÀÇ À¯¹«´Â »ó°üÀÌ ¾ø´Ù°í º¸´Â°Ô ¸Â°Ú³×¿ä.
|
00 |
|
2024-06-16 |
|||||||
|
|
»ï°¢°ü°è |
°øÇÐ¿ë °è»ê±â µÎµé±â´Ï 15 ³ª¿È
|
190 |
|
2024-06-15 |
||||||
|
|
Äݺç |
¹º »ý°¢À¸·Î Àú·± ¹®Á¦¸¦ ³»Áö
|
00 |
|
2024-06-15 |
||||||
|
|
±×³Év°¡²û |
¹°¸®ÇÏ´Â »ç¶÷µéÀÌ ³ª´©±â ±âÈ£¸¦ ¾²Áö ¾Ê´Â ´ë½Å, ºÐ¼ö °öÇϱ⸦ »ç¿ëÇÏ´Â ÀÌÀ¯°¡ ÀÌ·± °Å¿´±º
|
00 |
|
2024-06-15 |
||||||
ÀÛÀºÃ¥o |
¹°¸®ÇÏ´Â »ç¶÷µéÀº ´ëºÎºÐ 15·Î º¼µí
|
00 |
|
2024-06-16 |
|||||||
ÀÛÀºÃ¥o |
ÀÌÀ¯´Â °°À½. Æò¼Ò¿¡ ºÐ¼öÇüÅ·Π½á¼ °ö¼À°ú ³ª´°¼ÀÀÌ °°ÀÌÀÖ´Â ½ÄÀ» º¸¸é ºÐ¼öÇüÅ·ΠÀνÄÇØ¼ ³ª´©±â¸¦ ¸¶Áö¸·¿¡Ã³¸®ÇÔ
|
00 |
|
2024-06-16 |
|||||||
|
|
¸Ó۴¸ַÏÀÌ¾ß |
Á¦ÀÛÁøÀÌ ÀϺη¯ Àú·± ¹®Á¦¸¦ °í¸¥µíÇѵ¥, ¿³¸Ô´Â°Ç Ã⿬ÀÚ ¸ò
|
210 |
|
2024-06-15 |
||||||
ÀÛÀºµÅÁö´Ù |
¹®Á¦°¡ ¤¸°°Àºµ¥, Ã⿬ÀÚ¸¸ ¾ï¿ïÇÏ³× 22222
|
10 |
|
2024-06-15 |
|||||||
|
|
·ê·çºñµ¥Â¯ |
À̰ú °ø´ë»ýÀ» Áö³ª ³»Áø°øµ¹ÀÌÇÏ´Â ¾ÆÀçÀε¥ ÀÚ¼¼È÷ ¾ðÁ¦ ¹è¿ü´ÂÁö ±î¸Ô¾úÁö¸¸ Áß°íµù¶§´ø ´ëÇж§´ø ¾÷¹«»óÀÌ´ø ¼ö½Äº¼¶§ °ÅÀÇ ÀÚµ¿¹Ý»çÀûÀ¸·Î °ýÈ£ºÎÅÍ Ã³¸®ÇÏ°í ±× ´ÙÀ½ °ö¼ÀÀÌ´ø ´õÇϱ⻩±â´ø ÇÔ... ¿ì¸® »ç¹«½Ç¼µµ Àú·± ¼ö½ÄÀÌ¸é °ýÈ£ºÎÅÍ Ã³¸®Çؼ ³ª°¡´Â½ÄÀ¸·Î Çߴµð ¤Ð
|
60 |
|
2024-06-15 |
||||||
·ê·çºñµ¥Â¯ |
¹°·Ð °øÇпå°è»ê±â¸¶´Ù ¿ì¼±¼øÀ§°¡ ´Þ¶ó¼ Àú·± Çüżö½ÄÀ̸é Áß°ýÈ£ ó¸®ÇϱäÇÔ. ¸Ó¸®ÁÁÀº pd¸é ÀϺη¯ À¯µµÇؼ Á¶È¸¼ö »¡¶ó´Â°Å°í Æò¹üÇÑ ¼öÆ÷ÀÚ ¹®µ¹À̸é ÀڱⰡ Á¤´äÀ̶ó°í ¾Ë°íÀÖ´Â°Ô ¼ö½ÄÀÇ¿À·á¶õ°É ¸ð¸¥°É°Å°í ¤»
|
30 |
|
2024-06-15 |
|||||||
|
|
Á¸½¼ÀÌÁã¾ËÅë |
15¾Æ´Ô?
|
20 |
|
2024-06-15 |
||||||
|
|
ºêÀÌÇǽº |
°ýÈ£ Çϳª ´õ ³Ö´Â´Ù°í ¼¼±Ý³»´Â°Íµµ ¾Æ´Ï°í...½Ç¹«¿¡´À¼ Àú µûÀ§·Î ¾²¸é ¾²´Â³ðÀÌ ÃÄÁ×ÀÏ ³ðÀÌÁö...
|
20 |
|
2024-06-16 |
||||||
|
|
À̳«ÆÛÆÛ |
¿ä·± Åä·Ð½Ä ±Û ³»°¡ µü ÁÁ¾ÆÇÏ´Â ±ÛÀÓ ¤»¤»¤»¤» ³íÀï ÀëÀÖ³× Âü°í·Î ³ªµÎ 15³ª¿È
|
00 |
|
2024-06-16 |
||||||
|
|
³ª³ª³²Æí |
ÁöÇÇÆ¼4o´Â 0ÀÌ·¡
|
00 |
|
2024-06-17 |
||||||
|
|
´ë¸Ó¸®¸Ó¸Ó¸® |
À̰ÅÀÌ ¹º¼Ò¸®¿© °öÇϱâ¿Í °ýÈ£ ¾Õ ¼ö´Â ´Ù¸¨´Ï´Ù °ýÈ£ ¾Õ ¼ö´Â ÇϳªÀÇ Ç×À̱⿡ ¾ö¹ÐÇÏ°Ô ´äÀº 15°¡ ¸Â°í 0Àº ¾ö¹ÐÈ÷ ¾ÈµË´Ï´Ù
|
10 |
|
2024-06-18 |
||||||
´ë¸Ó¸®¸Ó¸Ó¸® |
a ¡À bc°¡ ac/b¶ó´Â °Çµ¥ ;;;
|
10 |
|
2024-06-18 |
|||||||
´ë¸Ó¸®¸Ó¸Ó¸® |
ã¾ÆºÃ´Âµ¥ Á¤È®ÇϰԴ 15°¡ ¸Â½À´Ï´Ù¸¸ ¼öÇÐ ±ÔÁ¤À» Àú ¹®Á¦ÀÇ °æ¿ì 0ÀÌ µÇµµ·Ï ( ¼ø¼´ë·Î °è»êÇϵµ·Ï) ±ÔÁ¤À» ¹Ù²ã¾ßÇÑ´Ù´Â ÁÖÀåÀÌ Àִٳ׿ä
|
00 |
|
2024-06-18 |
|||||||
»ó´ë¹æ¿¡ ´ëÇÑ ¹è·Á´Â ³×ƼÄÏÀÇ ±âº»ÀÔ´Ï´Ù.°Ô½Ã¹°¿¡ »ó°ü¾ø´Â ´ä±ÛÀ̳ª ÃßõÀ¯µµ¼º ´ä±ÛÀ» ´ÞÁö ¸¶¼¼¿ä.
½ºÆ÷ÀÏ·¯¼º ´ä±ÛÀÌ ½Å°íµÇ°Å³ª ¹ß°ßµÇ¸é ÀÌÀ¯ºÒ¹® »èÁ¦ ȤÀº Á¤ÇÐó¸® µË´Ï´Ù. À¯ÀÇ ºÎŹ µå¸³´Ï´Ù.
| ¡ã ´ÙÀ½±Û | ±¹ÀåÇÏ´Â°Ô È£±¸ÀÎÀÌÀ¯ | Å©·¹À̱×ÅÍÄ¿ |
|
2024-06-15 [18:54] |
| ¡å ÀÌÀü±Û | ¾î¼´Ù ±³¼ö´Ôµé ´ëÈ¿¡ ³¤ Çкλý .jpg | ±Í¿©¿î±ÇÁø¾Æ |
|
2024-06-15 [18:45] |
