ÃßõµÇ¾ú½À´Ï´Ù.
|
| ´ÜÃà URL: https://humoruniv.com/pds1029676 URL º¹»ç |




|
|
| ¡ã ´ÙÀ½±Û | ¿À´ÃÀÚ 5È£¼± ·¹Àüµå ±ÙȲ.JPG | ²Üºü¾Ó |
|
2021-01-09 [00:51] |
| ¡å ÀÌÀü±Û | Á÷°Å·¡ ·¹Àüµå.jpg | Spinus |
|
2021-01-09 [00:35] |
´ä±Û º£½ºÆ®
|
´ä±Û º£½ºÆ®1 |
³×Æä¸£ÇÇÆ®o |
ÀÌ·¡¼ ¹®°ú´Â.. ÂìÂê.. [5]
|
58 0 |
|
2021-01-08 20:44 |
||||
|
´ä±Û º£½ºÆ®2 |
crash38 |
¹®°ú´Â ¸ø¿ô´Â °³±× [2]
|
17 0 |
|
2021-01-09 00:33 |
||||
¿¬³ª¶û |
À̰úµµ ºý´ë°¡¸®¸é ¸ø¿ô´Â °³±× |
390 |
|
2021-01-09 |
|||||

|
|
³×Æä¸£ÇÇÆ®o |
ÀÌ·¡¼ ¹®°ú´Â.. ÂìÂê..
|
580 |
|
2021-01-08 |
||||||
¾î¸ÅÀ÷Èë¸Ô¾î |
ðëÊ«ñýØ© ã¿ÛëÖÌØ©
|
60 |
|
2021-01-09 |
|||||||
Ŭ·¹¾î¸¸¼¼ |
Á·°¡Áö¸¶ ±îÁö¸¸ ¾Ë°Ú³×
|
30 |
|
2021-01-09 |
|||||||
»Ñ¶Çºüµå·¹ |
½Ã¹ú·Î¸¶
|
30 |
|
2021-01-09 |
|||||||
ÀÓŸ½º |
¿ì¸®µµ À繫ÇÐ ¹è¿ì¸é Àú°Å ¾´´Ù±¸..
|
10 |
|
2021-01-09 |
|||||||
³×Æä¸£ÇÇÆ®o |
³ªµµ ¹ýÇкξç!
|
00 |
|
2021-01-09 |
|||||||
|
|
crash38 |
¹®°ú´Â ¸ø¿ô´Â °³±×
|
170 |
|
2021-01-09 |
||||||
¿¬³ª¶û |
À̰úµµ ºý´ë°¡¸®¸é ¸ø¿ô´Â °³±×
|
390 |
|
2021-01-09 |
|||||||
¿¬³ª¶û |
(Á¤»ö)
|
150 |
|
2021-01-09 |
|||||||
|
|
¾ß±Ù¿äÁ¤µµ¿äÁ¤ÀÌ¾ß |
¼³µæ·ÂÀÌ..... ÀÖ¾î!!
|
00 |
|
2021-01-09 |
||||||
|
|
¾îÈÞ±ØÇø |
ÇÏ·ç e¸®Åʹ¾˾Ƽ ¸¶½Ã°í Àú±ä 2l¸¸ µé¾ú³ªº¸Áö
|
10 |
|
2021-01-09 |
||||||
|
|||||||||||
|
|
¾Ç¹Â¿¡Àλýº£ÆÃ |
¾Ç¹Â·Î ¾î½Ã🎶
|
00 |
|
2021-01-09 |
||||||
|
|
26¼¼¿îµ¿ÇÏ·Á´Â³² |
ßäâ©ùÁÍÔä¨Òý
|
10 |
|
2021-01-09 |
||||||
|
|
³¾È°æ¾´»÷´ÔÀ̴ϱî |
tmi: 2¸®ÅÍ´Â 2ų·Î±×¶÷ÀÌ´Ù
|
40 |
|
2021-01-09 |
||||||
³¾È°æ¾´»÷´ÔÀ̴ϱî |
´Ü, ¹°Àϰæ¿ì¿¡¸¸
|
70 |
|
2021-01-09 |
|||||||
ÀÚº»ÁÖÀǰ¡³ºÀº¼Õ°¡¶ô |
tmi: ÀÌ·¸°Ô µü ¶³¾îÁö´Â ÀÌÀ¯´Â ¹ÌÅ͹ýÀÇ ´ëºÎºÐÀº ÀÚ¿¬¿¡¼ ½±°Ô Á¢ÇÒ ¼ö ÀÖ´Â ¹°À» ±âÁØÀ¸·Î Ç߱⶧¹®ÀÌ´Ù.
|
10 |
|
2021-01-09 |
|||||||
°í½ºÆ®¶óÀÌÅÍ |
ÆÑÆ® : ¹° 2¸®ÅÍ °¡ 2kgÀÏ ¶§´Â ¹°ÀÇ ¿Âµµ°¡ 277.15K ÀÏ ¶§ »ÓÀÌ´Ù.
|
70 |
|
2021-01-09 |
|||||||
¹«·áÄíÆùÁö±Þ |
Ç¥ÁØ´ë±â¾ÐÀ» »óÁ¤ÇϽŠÁú¹®Àΰ¡¿ä?
|
00 |
|
2021-01-09 |
|||||||
|
|
Å·¿Àºê´õÂüÄ¡ |
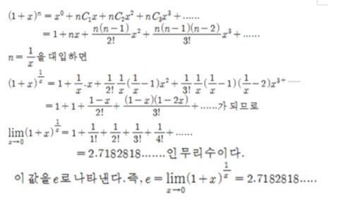
Àú °ø½Ä¿¡¼ (1+x)^(1/x)¸¦ 0ÀÇ ±ØÇÑÀ¸·Î º¸³»´Â ÀÌÀ¯°¡ ¹¹¿¡¿ä? n=1/x·Î ´ëÀÔÇÏ´Â ÀÌÀ¯´Â ¶Ç ¹¹ÁÒ..? À̰úÀε¥ ±â¾ïÀÌ ¾È³² ¤Ð¤Ð
|
10 |
|
2021-01-09 |
||||||
ÆÄÀÏÀ»Ã£À»¼ö¾ø½À´Ï´Ù |
eÀÇ Á¤ÀÇ¿¡¿ë
|
10 |
|
2021-01-09 |
|||||||
Exmachina |
X¸¦ 0À¸·Î º¸³»¸é (1-x)(1-2x)¸¦ ÀüºÎ 1·Î ÇÕÄ¥¼ö À־ä n¿¡ 1/x¸¦ ´ëÀÔÇÏ´Â°Ç µÚ¿¡ x, x^2À» ¾ø¾Ù ¼ö À־ä
|
10 |
|
2021-01-09 |
|||||||
|
|
Á¦3¿Ü±¹¾î |
¿Í Àç.¹Õ.´ç ( ˃̣̣̣̣o˂̣̣̣̣ )
|
10 |
|
2021-01-09 |
||||||
|
|
¿¡ÀÕ½¹½¹ |
ÀÚ¿¬»ó¼ö °íµù ¶§ ¹è¿ì´Â°Å ¾Æ³à? ±»ÀÌ °ø´ë»ý¾Æ´Ï¾îµµ..
|
00 |
|
2021-01-09 |
||||||
|
|
¿ìÁÖ¸Û¸ÛÀÌ |
2.17 ½ÃÆÈ ÀÌ½ÊÆÈ ½ÃÆÈ
|
00 |
|
2021-01-09 |
||||||
|
|
ºÏºÎÀÇ¿Õ |
À̰úµéÀº ÀÌ·¡¼ ¾ÈµÅ ¾ð¾îÀ¯Èñ¿¡ Á×ÀÚ°í ´Þ·Áµå´Ï ±×·¯´Ï±î ¾Æ½Î¼Ò¸® µèÁö ¤¹¤¹
|
20 |
|
2021-01-09 |
||||||
±è¿Á´± |
¹®°úµéÀº ÀÌ·¡¼ ¾ÈµÅ Àú·± À¯¿ì¸Óµµ ÀÌÇØÇØÁÖÁö ¸øÇÏ¸é¼ ÀüÀÚ±â±â¸¦ »ç¿ëÇÏ´Ù´Ï
|
40 |
|
2021-01-09 |
|||||||
|
|||||||||||
»ó´ë¹æ¿¡ ´ëÇÑ ¹è·Á´Â ³×ƼÄÏÀÇ ±âº»ÀÔ´Ï´Ù.°Ô½Ã¹°¿¡ »ó°ü¾ø´Â ´ä±ÛÀ̳ª ÃßõÀ¯µµ¼º ´ä±ÛÀ» ´ÞÁö ¸¶¼¼¿ä.
½ºÆ÷ÀÏ·¯¼º ´ä±ÛÀÌ ½Å°íµÇ°Å³ª ¹ß°ßµÇ¸é ÀÌÀ¯ºÒ¹® »èÁ¦ ȤÀº Á¤ÇÐó¸® µË´Ï´Ù. À¯ÀÇ ºÎŹ µå¸³´Ï´Ù.
| ¡ã ´ÙÀ½±Û | ¿À´ÃÀÚ 5È£¼± ·¹Àüµå ±ÙȲ.JPG | ²Üºü¾Ó |
|
2021-01-09 [00:51] |
| ¡å ÀÌÀü±Û | Á÷°Å·¡ ·¹Àüµå.jpg | Spinus |
|
2021-01-09 [00:35] |
